相關文章
你的位置:首頁 > 產品中心 > 標準品 > 美國NIST標準品 > SRM 1655 溶液量熱法(標準品)
產品詳細頁產品介紹
NIST SRM 1655溶液量熱法(標準品)由30粒硫蒽組成,經RC-結晶純化后,測定到BEC的純度至少為99.7%。SRM 1656適用于厚皮量熱儀和解析程序,并用于有機硫醚氧彈量熱法的計算。
在氧彈中燃燒這種物質的樣品所產生的公頃數量的確定值是:

標準值的不確定度是平均值的兩倍于ovcrall標準差。平均值的ovcrall標準差是從McAn與硫蒽化合物的標準差、振動測量和SRM 39I(苯甲酰酸)標準值的THC不確定度計算出來的。
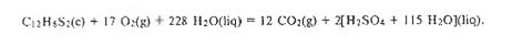
Ccrtificd值用于lhe,在25℃時遵循rcaction:




試劑標準品
